光束整形器,分束器,微透镜,离轴抛物面镜,NOIR激光防护眼镜,太阳能模拟器,显微镜载物台,激光器,光谱仪,红外热像仪,激光晶体
English购物车网站地图
服务热线:0755-84870203
中文English
服务热线:0755-84870203
您当前的位置:首页 > 技术中心 > 产品应用

Crylas FQSS 266-200用于发光层三重态能量和衰变时间的测定

作者: 时间:2023-09-05

有机发光二极管(OLED) 是电流通过时发光的器件。除了电致发光层由有机化合物薄膜组成外,它们与标准LED相似。OLED用于在计算机显示器手机屏幕和电视等设备中创建数字显示。本文概述了在Merck KGaAOLED研发部门的一个小组正在开展的工作,使用光谱仪和ICCD相机测量光致发光,以了解这些材料在低温范围内的基本行为。

OLED可制造为单色(红、绿、蓝)光电子器件以及混合材料的白光发射。此外,这些材料可以作为非晶层施加到任何衬底上,这由于不存在晶格应变,导致机械灵活性。除了这些理想的机械性能之外,优异的光学性能也是显示器工业感兴趣的。然而,OLED材料往往老化和失去其效率在不同的速度。因此,重要的是要了解基本的内部处理这些材料,以改善他们。不像无机半导体系统其中的属性是受例如掺杂剂的变化的影响,有机材料的属性是通过修改分子的结构直接修改。

在有机发光二极管的生产过程中,需要具有不同功能的层。根据功能的不同这些层必须具有不同的光学特性。优化各个层的物理性能可以提高整个OLED系统的效率。这样的优化将基于知道和理解各个层的属性。为了深入了解,该小组研究了第一激发单重态(S1) 和三重态(T1)及其能级的定位。与这些状态相关的荧光和磷光的衰减时间分别为

用于评估OLED材料的重要性能。建立了测定发光层三重态能量和衰减时间的测量系统,目的是优化不同层间材料的效率。实验的目的是测量T1水平在低温下的综合强度和这个水平的时间演变,所获得的数据提供了关于激子的路径和扩散速度以及不同能级之间相互作用的信息。此外,还可以研究组成OLED系统的材料的热行为。

测量设置由以下主要组件组成:激光器(CryLas FQSS 266-200),低温恒温器(牛津仪器Optistat DN-V2),光谱仪(安道三叶草SR-303i-A),相机(安道尔istar DH320T-18F-03)。激光器 ( CryLas FQSS 266-200 )是个三倍双脉冲ND:工作波长266nmYAG激光器。该激光器的脉冲能量为200ul,脉宽为1.5ns。在CryLas FOSS266-200激光器和样品室之间安装了一个扩束器。设置示意图如图1所示。


1.测试系统的结构示意图

样品室(牛津仪器Optistat DN-V2)采用液氮冷却,并被抽空进行热隔离。它安装在恒温器柱的末端,有四个窗口,用激发光照射样品,用准直透镜将发射光耦合到光纤中。玻璃纤维将光信号传送到光谱仪(andor SR-303i-A),并分散到多通道探测器(AndorICCDIStar320)上。实验装置的图片如图2所示,光谱系统在背景中,低温恒温器和腔室在右侧。

2. 测试系统的实物图

在进行测量时,激光器最初被点燃,以便它向相机提供预触发脉冲以进行同步。设置中的传播延迟为~72ns因此,该系统被配置为捕获第二个和每一个连续的脉冲,但忽略初始激光脉冲。控制摄像机的软件有助于准确和轻松地控制同步延迟。


3. OLED的发射光谱

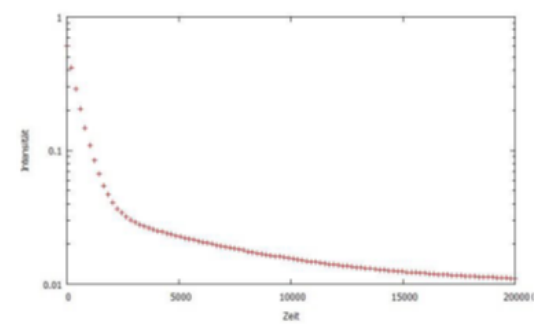
Labview软件开发工具包以及内部自定义应用程序实现了对所有组件进行完全控制的集成系统。动力学系列模式的采集与使用的相机门阶实用程序,使一系列光谱被收购的激光激发和收购的光发射之间具有不同的延迟。这使得衰减时间可以从光发射的演变中推断出来。进行了多次采集,并取平均值,以获得良好的信噪比测量。OLED材料发射光谱如图3所示。T1水平的评估是通过评估位于图3474nm处的第一个最大峰的强度来进行的。图4显示了随着时间的推移强度在474nm处衰减的时间序列。这代表了激子与T1水平的复合所产生的发射的时间依赖过程。由于荧光和磷光是重叠的,早期发射与荧光有关,后期发射与磷光有关,因此我们可以通过聚焦于特征的后期部分的发射来评估磷光的时间依赖过程,图5中用蓝色标出的部分突出显示了这一段。

4. 衰减时间测量,基于474nm

5. 磷光衰减曲线

OLED材料的三重态-三重态灭(TTA)特性可以通过拟合磷光随时间变化的过程的数学模型来确定。如图6所示。由于荧光对低磷光OLED材料的测量具有破坏或干扰作用,相机采用模式,在采集开始之前引入延迟时间,

快速消失的荧光会被拒绝"而不会被相机捕获。之后,曝光相机的传感器直到出现下一个激光脉冲。使用这种技术,也可以记录非常低的磷光光谱







6. 二阶三重态湮灭效应测定。衰减曲线的建模拟合以绿色显示。

7显示了另一种OLED材料的三个光谱,它们以不同的延迟被记录下来。在t=0时记录到第一光谱(红色)。给出了OLED材料的典型荧光光谱。当引入延迟时,可以识别第二个峰值。第二个峰对应于磷光。这说明了一个很强的荧光信号如何控制总发射,这对测量低磷光OLED材料来说是很有挑战性的,特别是在这两种发射之间有明显重叠的情况下,这就给T级的测量带来了困难。然而随着荧光衰减时间的加快和相机在控制定时延迟(和采集门控)方面的能力仍然可以测量非常低的磷光信号,如蓝色曲线所示。


7. 具有不同延迟时间的低磷光OLED材料的归一化光谱


总之,该小组演示了如何使用ICCD相机(AndorIStar)OLED发射光谱进行非常好的测量(即使是低磷光样品),包括在350700nm波长范围内的发射衰减时间和从纳秒到秒的时间间隔的捕获时间(和延迟)。这使得它们能够表征OLED中使用的材料层的低温特性,如三重态-三重态湮没和衰变剖面的温度依赖性。

本文中使用的CryLas FQSS 266-200属于是半导体泵浦被动调Q固体激光器。可以用于生物医疗,化学分析等检测领域,主要参数:波长266nm,发散角小于3mrad,束腰直径500微米左右,输出端800微米左右,单脉冲能量200微焦,峰值功率130kW,重频1~60Hz,脉宽小于1.5ns


参考文献

1. Department of OLED Research, Merck KGaA, Darmstadt. Germany, Web: www.merckgroup.com

2. Other background information: www.oledinfo.com, https://en.wikipedia.org/wiki/OLED





产品导航 : 光束整形器分束器螺旋相位板微透镜阵列径向偏振片(S波片)红外观察仪激光防护眼镜显微镜载物台显微镜自动对焦量子级联激光器266nm激光器光斑分析仪光束质量分析仪激光晶体电控位移台主动被动隔震台太赫兹源太赫兹相机

友情链接 : 维尔克斯光电  中国供应商                                                                                                         中科光学


版权所有:深圳海纳光学有限公司 粤ICP备18089606号
电话:0755-84870203 邮箱:sales@highlightoptics.com