光束整形器,分束器,微透镜,离轴抛物面镜,NOIR激光防护眼镜,太阳能模拟器,显微镜载物台,激光器,光谱仪,红外热像仪,激光晶体
English购物车网站地图
服务热线:0755-84870203
中文English
服务热线:0755-84870203
您当前的位置:首页 > 技术中心 > 技术文档

PicoLAS LDP-V系列驱动器及信号发生器可用于复现Science Advances量子点纳秒脉冲电致发光实验

作者:陈yl 时间:2025-12-01

南方科技大学陈树明团队在《Science Advances》上发表研究成果,(Nanosecond-pulsed electroluminescence from high current driven quantum-dot light-emitting diodesVol 11,Issue 12DOI: 10.1126/sciadv.ads1388)成功实现高电流驱动下溶液加工量子点发光二极管(QLED)的纳秒脉冲电致发光。通过建立QLEDRC等效电路模型,系统分析瞬态电流与电致发光动态过程,揭示载流子注入、积累与复合机制。实验使用的纳秒信号发生器模块(脉宽10-200ns,输出电压16-36V)是定制开发的,但德国PicoLAS旗下产品如LDP-V系列大电流脉冲驱动器(LDP-V 50-100,脉宽8ns-10us,输出电压0-100V)和PLCS-21信号发生器(重频1Hz-2MHz,脉宽2ns-1s)可满足实验的硬件需求。

成果所用器件中包含纳秒信号发生器模块,超窄脉冲模块是定制开发的,可输出10200纳秒和1636伏可调纳秒脉冲电信号。输出端口直接焊接到器件电极上以减少传输电阻,电路板上配备了一个50毫欧电阻用于TRC监控。通过ZJZCL‑2测试器测量了优化QLEDs在脉冲模式下的寿命,重复频率和脉冲驱动器脉冲宽度分别设置为50千赫兹和20纳秒。

Picolas公司可提供相关LDP-V大电流脉冲驱动器以及信号发生器用于量子点电致发光实验,如PicoLAS LDP-V 50-100驱动以及PLCS-21信号发生器。


-高输出电流:LDP-V输出电流范围为3-50A。实验中使用的峰值电流完全在其能力范围内,确保了能充分驱动激光二极管。

-超快上升时间:典型上升时间仅为2.3ns(最大4ns)。这保证了LDP-V驱动电流能够极其迅速地上升,从而产生非常“尖锐”的光脉冲,这对于精确的泵浦和避免热效应至关重要。

-可调脉冲宽度:支持8ns到10µs的脉冲宽度控制。20ns脉冲宽度正处于其最佳性能区间,既能提供足够的能量,又能保持高峰值功率。

-高重复频率:支持单次触发到2MHz的重复频率。100Hz的实验需求远低于其上限,工作非常稳定。

-易于集成与操作:该脉冲驱动器模块设计紧凑(75x44x20mm),仅需一个15-24V的直流电源和一个触发信号即可工作,非常适合集成到光学实验平台中。

-电流监控:脉冲驱动器内置20A/V的电流监控输出,便于实验人员实时监测和校准驱动电流。

PLCS-21脉冲信号发生器,支持电压15 V,脉宽2ns~1s,重频1 Hz~ 2Mhz,触发输入50 Ohm 5 V SMC, 500 Ohm 5V 2 Pin connector


量子点电致发光论文核心内容

电荷载流子动力学与RC模型

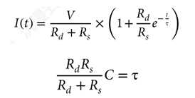
· QLED可建模为RC等效电路,其中Rs为串联电阻,Rd为二极管电阻,C为结电容。

· 瞬态电流与电致发光可分为四个阶段:延迟时间、上升时间、稳态时间与下降时间。

· 电容主要受空穴传输层厚度影响,表明电荷主要积累在TFB界面两侧。

快速响应QLED的优化策略

· 通过减小发光面积、使用高导热Si基板,有效降低Rd,提升电流密度。

· 采用外围Al辅助电极与后退火工艺,显著降低Rs,进一步提升电流至2760 mA/cm²

· 电流密度从105 mA/cm²提升至753 mA/cm²,上升时间从2930 ns缩短至300 ns

纳秒脉冲电致发光性能

· 在35 V电压、20 ns脉冲宽度下,电流密度达86 A/cm²,辐射出射度为5.4 W/cm²

· 脉冲宽度在20–150 ns范围内均可稳定输出,重复频率达50 kHz

· 在连续运行10天后,光强仍保持初始值的80%,表现出良好稳定性。


量子点电致发光应用展示

时间分辨荧光光谱

· 使用蓝色纳秒脉冲QLED作为激发源,成功激发红色与红外QD溶液。

· 自制系统与商用FS5光谱仪结果一致,验证其作为低成本激光替代源的可行性。

高速成像

· 使用绿色QLED作为20 ns曝光闪光,成功捕捉下落墨滴的瞬态过程。

· 与传统恒定照明相比,纳秒脉冲闪光可有效冻结高速运动物体。


量子点电致发光结论

本研究通过RC等效电路模型深入理解QLED的瞬态响应机制,系统优化器件结构与驱动条件,成功实现20 ns脉冲宽度的电致发光,辐射出射度达5.4 W/cm²。该QLED可作为低成本、高性能的瞬时激发源与曝光闪光,在超快光谱、高速成像、激光泵浦、光动力治疗等领域具有广泛应用前景。

以下是部分论文内容引言及结果:

具有高瞬时功率的超短光学发射由于其应用在超快光电子学、超快光谱学、高分辨率快速成像显微镜和材料加工方面而备受关注。通常,脉冲持续时间在纳秒到飞秒范围内的超短发射是通过激光器获得的,而激光器相当昂贵。为了降低成本,人们已经尝试开发基于无机III族氮化物基发光二极管(LEDs)的纳秒脉冲电致发光(EL)。通过精心设计LED结构并使用高电流源驱动LED,已经实现了具有10MHz高重复频率的10‑ns脉冲EL。这种超快LED已被广泛用作各种光谱应用的低成本激发源。最近,基于胶体CdSeInP量子点(QDs)的LED作为显示应用的潜力器件受到了热烈研究。与LED相比,QD‑LEDs或QLEDs是通过溶液工艺制造的,这提供了独特的优势,包括成本较低、易于集成、更高的柔性和更大的面积兼容性,使它们在一些LED无法正常工作的特定场景中极具吸引力。典型的QLEDs基于有机‑无机杂化结构,通常使用无机ZnO纳米颗粒作为电子传输层(ETL)。使用ZnOETL提供了较低的电子注入势垒和高效的电子传输,使得最佳性能的红色QLED表现出1.6V的亚带隙开启电压、超过3,300,000cdm−2的最大亮度以及理论上超过39%的高外部量子效率(EQE)。这种优异的性能表明QLEDs具有很高的导电性,因此它们对电刺激的响应速度可以与LED一样快。一些快速响应的QLEDs已被开发并用于可见光通信,展示了2.5MHz3‑dB带宽。然而,最佳性能的快速响应QLEDs只能发射微秒脉冲EL,和thusfar,超快QLEDs具有纳秒脉冲发射尚未被演示。

结果

电荷注入、积累、传输和复合动力学QLED本质上是p‑n二极管,因此可以建模为电阻电容等效电路,如图1A所示。Rs 是串联电阻,表征电极引线和接触引起的电阻。Rd 表示二极管电阻,该电阻受驱动电流调制。C是空间电荷区引起的结电容。图1B显示了由电压脉冲驱动的QLEDTRCEL。器件最初作为电容器工作,因此在施加电压脉冲时,电荷会迅速从电极注入并充电,导致充电电流很大。一旦充电过程完成,电荷载体在QDs中传输和复合,导致稳态复合电流和稳定的EL

通过拟合TRC使用CRsRd 都可以提取,详细内容见补充材料(第S1节)。如图1B所示,TRELTRC密切相关,可以分为四个部分,由TdTrTsTf的时间常数表征,分别代表电致发光延迟时间、上升时间(定义为电致发光从10%上升到90%稳定值的时间间隔)、稳定时间和下降时间。

为研究电荷积累过程,测量并拟合了具有不同功能层厚度的高发射QLED(玻璃/Ag/IZO/PEDOT:PSS/TFB/QD/ZnMgO/超薄Al/IZO)的TRCsEL(图S1S3)。如图1C所示,拟合结果提取的电容几乎与QDsZnMgOETL的厚度变化无关,而随着聚[(9,9‑二辛基荧光蒽‑2,7‑二基)‑共‑(4,4′‑(N‑(4‑丁基苯基)))](TFB)空穴传输层(HTL)厚度的增加而逐渐减小,空穴传输层(HTL)的厚度增加。这一结果表明,TFB充当电容的介电层,因此电荷主要积累在TFB两侧的界面。通过检查QLED的能级对齐可以理解这一结果。如图1D所示,由于界面无势垒,电子可以有效地注入和传输到QDs。注入的电子最终积累在TFB/QD界面,而空穴主要由于存在0.4‑eV势垒而积累在聚(3,4‑乙烯二氧噻吩):(苯乙烯磺酸盐)(PEDOT:PSS)/TFB界面。因此,电容器主要受TFB厚度的影响。为启动EL,积累的空穴应通过TFB并与QDs中的电子复合。第一个空穴通过TFB并与电子复合所需的时间设定了Td。因此,Td 不仅受充电时间影响,还受TFB厚度影响,因为它决定了空穴传输时间。Td TFB厚度最敏感(图1H,底部),随着TFB厚度的减小而逐渐减小,如图1E(图S4)所示。EL开启后,更多空穴到达QDs,导致EL上升。当大多数空穴注入QDs后,它们通过QDs传输,以最大限度地重叠并与QDs中的电子复合,从而产生最大且稳定的EL。因此,Tr,表征大多数空穴与电子复合所需的时间,主要由QDs厚度决定。如图1FH)所示,Tr 主要由QDs厚度决定,当QDs厚度减小时会显著减小。

1.电荷注入、积累、传输和复合动力学。(A)QledRc等效电路示意图。(B)20千赫兹频率的5伏脉冲偏置的Qled的典型tRceltRel分为四个阶段,由延迟时间(Td)、上升时间(Tr)、稳定时间(Ts)和下降时间(Tf)表征。a.u.,任意单位。(C)不同功能层厚度Qleds的电容计算值。(D)顶部发射绿色Qled的能带级示意图。电荷在tFB界面两侧积累。(EF)不同htl厚度(E)和Qd厚度(F)的QledstRel(G)不同时间间隔Qleds中电荷注入、积累、传输和复合过程的示意图。(H)上升时间和延迟时间随htleMletl厚度的统计结果。

       上述发现使我们能够描绘出QLED中电荷注入、积累、传输和复合过程的物理图像。如图1G所示,在施加电压(t = 0)后,电荷载体迅速注入并给电容器充电。充电结束时,它们在TFB界面的两侧积累。At t = Td,第一个空穴穿过TFB并与QDs中的电子复合。随着时间的推移,更多的空穴与电子复合,导致EL增加。(t = 0),大多数空穴已经穿过QDs并渗透到电子填充区域,导致最大复合速率和最大且稳定的EL。随着时间的推移,更多的空穴与电子复合,导致EL增加。At t = Ts,大多数空穴已经穿过QDs并渗透到电子填充区域,导致最大复合速率和最大且稳定的EL

上述模型为快速响应QLED的优化提供了理论基础。显然,EL响应受Td Tr的影响很大,它们主要由TFBQDs中的空穴传输时间分别决定。尽管通过减小TFBQDs的厚度可以减少空穴传输时间,但器件性能可能会下降,使这种方法不切实际。通过提高TFBQDs的空穴迁移率,或通过增加TFBQDs上的电场,可以增强空穴速度,从而缩短空穴传输时间。此外,应减小Rs ETL的电阻,以便施加的电压主要降落在TFBQDs上,以加速空穴的漂移。增强的空穴速度和Rs ETL减小的电阻导致电流改善。换句话说,快速响应EL通常在高电流驱动QLED中实现。因此,为了增强QLED的响应,我们特别关注通过减小QLEDRd Rs 来提高电流,如下所述。

快速响应QLEDs的优化

通过有效热管理,面积归一化的Rd 可以显著降低。如图2A所示,与发射面积为4mm2 的器件相比,发射面积为1mm2 QLED在高压下表现出显著更高的电流。例如,在施加电压为8V时,1mm2 器件显示出461mAcm−2的电流,比4mm2 器件的319mAcm−2 提高了1.44倍,而在低压下,两种器件的电流几乎相同。电压依赖性改进表明,焦耳热,主要在高电压下产生,应在影响电流方面发挥重要作用。这是合理的,因为焦耳热可以促进晶格振动,结果电荷载体散射更强,从而导致其迁移率降低。通过减小发射面积,不仅减少了焦耳热,而且有效地散失了焦耳热,从而提高了电流。如图2A所示,通过进一步用热导率更高的Si20)替换玻璃基板,电流得到显著改善,证实了焦耳热影响了电流。图2B显示了从TRCfig.S5)拟合结果中提取的Rd 。面积较小或使用Si基板的QLED显示出较低的Rd,这与J‑V结果一致。由于Rd的降低,器件可以更快地响应。例如,通过减小面积并使用Si基板,在施加电压为6V时,Tr 可以显著从2930ns降低到1500ns,如图2C所示。面积归一化的Rs 可以通过降低电极和接触的电阻来有效降低。我们的顶部发光QLED使用70‑纳米氧化铟锌(IZO)作为透明的顶部电极,这些电极表现出相对较高的电阻,从而限制了电流的改善。通过为IZO顶电极配备一个周边辅助Al电极(图S6),电阻可以大大降低。如图2D所示,使用Al周边辅助电极时,QLED8伏特下表现出2347mAcm−2 的电流,比对照器件高3.7倍。通过进一步退火器件以促进金属电极和半导体之间的金属化(32–34),可以获得合金接触,这不仅降低了接触电阻,还提供了无势垒的欧姆注入,这两者都使电流进一步改善到2760mAcm−2,如图2D所示。由TRC(图S7)的拟合结果所示,这种改善的电流归因于Rs的降低。具有更小的Rs 和增强的电流,器件响应更快。如图2E所示,通过使用周边Al辅助电极和退火器件,Tr 1500大大降低到300ns。图2F总结了器件结构对RdRs和电流的影响。通过有效热管理,Rd 减少了1.7倍,而通过使用外围Al辅助电极和退火,Rs 有效地减少了2.17倍。通过我们的专用器件结构,Rd Rs逐渐减少,从而使得电流从319增加到2760mAcm−2 8V下,提高了8.7倍。图2F还显示了电流与Tr之间的关系。在6V的施加电压下,当电流从105增加到753mAcm−2时,Tr 显著减少从2930300ns,提高了9.7倍。显然,快速响应的EL直接来自高电流驱动的QLED。因此,为了提高响应速度并实现纳秒脉冲EL,电流应该进一步增强。

2.快速响应QLEDs的优化。(A)电流密度(J)‑伏特特性。(B)Rd‑伏特特性(Rd 归一化到发光面积)。(C)不同面积和基板的器件的tRel(D)具有或不具有金属线辅助电极或退火的器件的J‑伏特特性和(E)tRel(F)器件结构对Rd,Rs Rs 归一化到发光面积)、电流和Tr的影响。

3.纳秒脉冲EL来自高电流驱动QLED(A)快速响应Qled的器件结构示意图。(B)35‑v电压脉冲和150‑ns脉冲驱动的QledtRcel(C)35‑v(对应电流密度超过86Acm−2)源驱动的QledtRel,脉冲持续时间从20增加到150ns(D)20‑ns电压源驱动的QledtRel输出,电压从18增加到35v(E)QledeQe和辐射出射度随电流密度的变化。(F)由峰值35v、脉冲持续时间20ns、重复频率50khz的电压源驱动的Qled的纳秒脉冲EL稳定性测试。

4.纳秒脉冲QLED在时间分辨荧光光谱中的应用。(A)tRPl光谱的家制装置示意图。tRPl曲线的(B)红色Qd(D)红外Qd溶液由具有不同脉冲宽度的Qled和商业爱丁堡FS5光谱仪激发。平均激子寿命的(C)红色Qds(E)红外Qds(F)Qd溶液的吸收和Pl光谱以及蓝色Qled激发源的el光谱。

5.纳秒脉冲QLED在高速成像中的应用。(A)使用绿色Qled20‑ns‑脉冲光作为曝光闪光的家用高速成像系统的示意图。(B)纳秒脉冲闪光(顶部)和恒定照明(底部)的高速成像时序。(CD)在恒定照明下,传统相机(c)和高速相机(d)拍摄的快速下落的墨滴照片。(EF)20‑ns‑脉冲光下,传统相机(e)和高速相机(F)拍摄的快速下落的液滴照片。

产品导航 : 光束整形器分束器螺旋相位板微透镜阵列径向偏振片(S波片)红外观察仪激光防护眼镜显微镜载物台显微镜自动对焦量子级联激光器266nm激光器光斑分析仪光束质量分析仪激光晶体电控位移台主动被动隔震台太赫兹源太赫兹相机

友情链接 : 维尔克斯光电  中国供应商                                                                                                         中科光学


版权所有:深圳海纳光学有限公司 粤ICP备18089606号
电话:0755-84870203 邮箱:sales@highlightoptics.com