作者:吴wq 时间:2025-10-10
美国CVI Laser Optics 为注重CVI反射镜性能的用户推出了采用离子束溅射镀膜(IBS)工艺的Nd:YAG激光反射镜Y1/2/3/4S系列。采用离子束溅射镀膜(IBS)工艺的CVI反射镜在其中心波段区域达到了难以想象的高反射率。采用离子束溅射镀膜(IBS)工艺的CVI Nd:YAG激光反射镜Y1/2/3/4S系列在科研和精密加工应用中有着不可替代的作用。
	 
 
	 
 
	
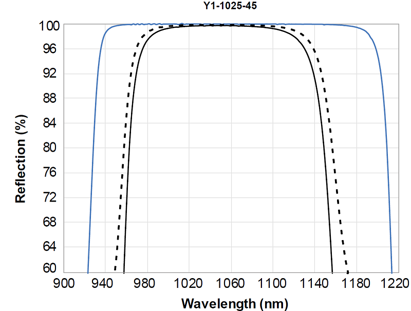
上图是采用离子束溅射镀膜(IBS)工艺的CVI反射镜Y1S-1025-0,Y1S-1025-45与Y1-1025-0,Y1-1025-45型号两种反射镜的反射率。可以看到,45°入射角,S偏振型号甚至在990nm到1150nm波段的区域的反射率均接近100%。与Y1-1025-0,Y1-1025-45型号相比,由于Y1S-1025-0和Y1S-1025-45两种反射镜镀膜的工艺效果较高,其透过率在中心波段更加的平滑和稳定。同时,得益于离子束溅射镀膜(IBS)工艺的高精度膜层,Y1S-1025-0和Y1S-1025-45两种反射镜比Y1-1025-0和Y1-1025-45型号的损伤阈值更高。
	 
 
Y1S-1025-0/45与Y1-1025-0/45对比如下:
| 
 | Y1S-1025-0 | Y1-1025-0 | Y1S-1025-45 | Y1-1025-45 | 
| 平均反射率 | >99.9% | >99.9% | >99.9% | >99.8% | 
| 损伤阈值 | 40 J/cm2 | 25 J/cm2 | 40 J/cm2 | 25 J/cm2 | 
| 基底材料 | 康宁 7980-D(熔融石英) | |||
| 直径公差 | +0/-0.25 | +0/-0.25 | +0/-0.25 | +0/-0.25 | 
| 厚度公差 | ±0.25 | ±0.25 | ±0.25 | ±0.25 | 
注:损伤阈值标注均为1064nm波长, 20ns, 20Hz的脉冲激光
在具有相同的直径和厚度公差下,采用离子束溅射镀膜(IBS)工艺Y1S-1025-0和Y1S-1025-45激光反射镜比Y1-1025-0;Y1-1025-45激光反射镜有着更好的透过率和损伤阈值。但是在生产周期和价格方面,离子束溅射镀膜(IBS)工艺的Y1S-1025-0和Y1S-1025-45相对于Y1-1025-0;Y1-1025-45就略显逊色了。由于技术的难度,离子束溅射镀膜(IBS)工艺的Y1S-1025-0和Y1S-1025-45生产的周期和成本都会比Y1-1025-0;Y1-1025-45高,因此如果是工业生产或者追求性价比的用户,直接购买CVI反射镜Y1-1025-0和Y1-1025-45就可以满足大部分的需求了。