光束整形器,分束器,微透镜,离轴抛物面镜,NOIR激光防护眼镜,太阳能模拟器,显微镜载物台,激光器,光谱仪,红外热像仪,激光晶体
English购物车网站地图
服务热线:0755-84870203
中文English
服务热线:0755-84870203
您当前的位置:首页 > 技术中心 > 产品原理

Dataray光斑分析仪软件的三种测量模式:平顶均匀性、标准差均匀性、RMS非均匀性

作者:李gh 时间:2026-01-20

在工业激光加工、半导体制造、显示面板、医疗美容、光伏及科研领域中,激光不仅要求功率稳定尺寸可控,更重要的是空间能量分布的均匀性。激光光斑的不均匀会直接导致:材料加工不一致(过烧、欠烧),曝光或退火不均,光学系统评价失真,光斑整形与匀化系统调试困难等。因此,激光均匀性(Uniformity / Non-Uniformity)已经成为评价激光质量的重要指标之一。DataRay 光斑分析仪(WinCamD 系列)在软件中提供了多种与均匀性相关的分析算法和显示模式,形成了三种典型、互补的均匀性测量方法标准。本文将系统阐述这三种方法的原理、定义、计算方式、操作要点、适用场景及优缺点。


激光均匀性测量的基本定义

DataRay 光束分析仪中,激光均匀性通常指:在选定光斑有效区域内,激光强度(或能量密度)相对于理想分布的偏差程度。

均匀性评价必须明确以下前提条件:

-测量区域(ROI / Aperture

-参考值(平均值、最大值或理想模型)

-评价算法,归一化方式(峰谷比、标准差、RMS 等)


1DATARAY WinCamD-LCM系列

均匀性测量方法一:Top-Hat平顶均匀性分析

该方法适用于设计目标为平顶(Top-Hat / Flat-Top)光斑的激光系统。

评价指标:平顶区域最大值/最小值,均匀性百分比,表面粗糙度(Roughness),边缘陡度(Edge Steepness

典型应用:激光匀化器验证,光刻/曝光系统,显示面板处理,医疗美容平顶光斑

方法原理:Top-Hat 模式假设被测激光光斑为理想平顶光束(Flat-Top Beam),其特征是:

-中央区域能量分布尽可能恒定

-边缘存在明显陡降(Edge Steepness

DataRay 光束质量分析仪软件通过 Top-Hat 拟合算法,在二维光斑数据中自动识别:平顶有效区域,平均强度值,边缘过渡区,并在该区域内评估均匀性。

在平顶均匀性模式下,均匀性通常定义为:

Uniformity=(Imin/Imax)*100% 或者Non-Uniformity=(Imax-Imin)/(Imax+Imin)

其中:Imax :平顶区域内最大强度,Imin:平顶区域内最小强度。

WinCamD 光束分析仪中,该模式配合:

-Top-Hat Fit 显示

-Edge Steepness(边缘陡度)

-Coefficient / Roughness(粗糙度)

用户可通过设置 Aperture Inclusion 区域,确保只统计平顶核心区域平顶均匀性。


模式二:基于统计标准差的均匀性分析模式:标准差均匀性(Standard Deviation / Coefficient of Variation

该方法基于统计学原理,不依赖任何理想光斑模型,直接评估光斑内像素强度的离散程度。

评价指标:平均强度(Mean),标准差(Standard Deviation),变异系数(CV

典型应用:任意光斑形态(非规则),多模激光,散斑明显的系统,科研与定量对比分析

方法原理:标准差均匀性数值越小,像素强度围绕平均值的波动越小。

核心参数定义:

-平均值(Mean Intensity

-标准差(Standard Deviation

-变异系数(Coefficient of Variation, CV

2:基于统计标准差的均匀性分析模式公式


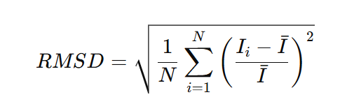
模式三:RMS非均匀性测量模式(RMSD Non-Uniformity

RMS非均匀性是一种国际上广泛采用的标准化指标,本质上是对强度偏差进行归一化的均方根计算。

典型应用:行业规范验收,批量产品一致性评估,高端科研与计量应用,不同系统之间的客观比较

方法原理:实际光斑与理想均匀分布之间的整体偏离程度。WinCamD 中对应功能为:Show RMSD Non-Uniformity.

ROI内:RMS非均匀性该结果通常以百分比表示

3RMS非均匀性公式

DataRay 光束质量分析仪并非仅提供单一均匀性数值,而是通过多种互补算法,为不同应用场景提供可靠、可追溯的激光均匀性评价手段。用户可根据自身应用目标选择合适的均匀性测量方法,确保测试结果既符合工程直觉,又满足行业规范。





产品导航 : 光束整形器分束器螺旋相位板微透镜阵列径向偏振片(S波片)红外观察仪激光防护眼镜显微镜载物台显微镜自动对焦量子级联激光器266nm激光器光斑分析仪光束质量分析仪激光晶体电控位移台主动被动隔震台太赫兹源太赫兹相机

友情链接 : 维尔克斯光电  中国供应商                                                                                                         中科光学


版权所有:深圳海纳光学有限公司 粤ICP备18089606号
电话:0755-84870203 邮箱:sales@highlightoptics.com