光束整形器,分束器,微透镜,离轴抛物面镜,NOIR激光防护眼镜,太阳能模拟器,显微镜载物台,激光器,光谱仪,红外热像仪,激光晶体
English购物车网站地图
服务热线:0755-84870203
中文English
服务热线:0755-84870203
您当前的位置:首页 > 技术中心 > 产品原理

啁啾体布拉格光栅CBG脉冲拉伸和压缩的基本原理_美国Optigrate

作者:韦bq 时间:2025-12-17

许多超短激光脉冲的应用需要高功率和高脉冲能量,然而,由于放大脉冲的峰值功率极高,直接放大超短脉冲会导致放大器产生非线性效应或激光诱导损伤。因此,提出了一种展频脉冲放大(Chirped Pulse AmplificationCPA)的技术。在这种技术中,使用色散光学元件在时间和空间上对低功率超短脉冲展宽(chirped)。经展宽后功率密度降低的脉冲被放大至略低于放大系统损伤阈值的功率水平。放大后的展频脉冲通过与展宽相同的或类似的色散光学元件进行压缩。该技术可获得的最高峰值功率主要取决于压缩元件的光学损伤阈值。

最初,CPA系统中的脉冲展宽与压缩几乎完全依赖成对的表面衍射光栅来实现,尽管采用表面衍射光栅的传统技术能显著提升可达功率水平,但其受限于元件平均功率承受能力的局限——通常仅在数十瓦量级。随着当今光纤激光器功率轻松突破千瓦,这一限制已成为超短脉冲激光器功率扩展的主要障碍。在CPA系统开发领域,采用光纤啁啾布拉格光栅(CBGs)实现了重大突破。该技术显著提升了CPA系统的稳健性,使其能够在实验室外的恶劣环境中应用。然而,尽管光纤拉伸已成为CPA系统设计的常规方法,但因光纤中的非线性效应及激光诱导损伤,光纤啁啾布拉格光栅的有限孔径限制了基于光纤脉冲压缩器的峰值功率上限。为克服这些限制,提出采用啁啾体布拉格光栅CBG实现脉冲展宽与压缩,以下简单介绍Optigrate啁啾体布拉格光栅的原理。


Optigrate啁啾体布拉格光栅CBG对激光脉冲的拉伸与压缩的基本原理:

均匀体布拉格光栅是由两束准直光的干涉图记录形成的相位体全息图[如图1(a)]。该记录过程在感光光学材料的体积内产生空间折射率调制(形成多个具有修正性折射率的平面层)。这些层状结构可实现光束的共振衍射效应,当满足布拉格条件时,该光栅内部即可发生辐射衍射现象。

若体布拉格光栅的位置使衍射光束(如图2(a)中的λ2)发生偏转并穿过其背面,则定义为透射式体布拉格光栅。若体光栅定位使衍射光束(如图2(b)中的λ2)穿过入射面,则定义为反射式体布拉格光栅或布拉格镜。图3(曲线1)展示了均匀反射光栅的衍射效率的示例,与透射光栅类似,不符合布拉格条件的入射光束在通过反射光栅时不会改变传播方向。

尽管均匀体光栅是通过两束准直光束产生的干涉图样记录的[1(a)],但也可以使用发散光束与会聚光束进行干涉[如图1(b)]。在这种情况下,干涉图样由暗面和亮面组成,其周期(Λ)沿垂直于记录光束角平分线的Z方向逐渐变化。如果会聚角和发散角相等,则所得体反射布拉格光栅的周期将沿Z方向线性变化。如果周期变化方向与该元件的光束传播方向(Z)一致,则它是如图1(b)和图2(c)所示的纵向啁啾反射体布拉格光栅。

本文将使用简化的描述来确定啁啾体布拉格光栅的原理。显然,CBG可以看作是大量不同周期的均匀光栅的叠加,与单个均匀脉冲压缩光栅相比,多个均匀脉冲压缩光栅支持更宽的光谱。CBG的反射光谱取决于光栅周期的啁啾率dΛ/dz。Optigrate啁啾体布拉格光栅的原理遵循布拉格条件λ=2nΛ,周期渐变使不同波长成分获得差异化反射延迟,完成脉冲拉伸与压缩。

CBG拉伸脉冲的能力如图2c)所示。可以看到激光脉冲的不同光谱分量会从CBG的不同部分反射出来。


1:均匀光栅的几何结构:(a)由准直光束干涉产生;(b)由会聚光束和发散光束干涉产生。

箭头表示光束的传播方向,Z轴与光栅矢量共线。

2:体布拉格光栅光束衍射示意图。

(a)透射光栅,(b)均匀反射光栅(布拉格镜)(c)啁啾反射体布拉格光栅,λ1>λ2>λ3

空间调制未按比例绘制——1μm处布拉格镜的典型周期约为0.3μm

3:不同光谱调制率(SCR)下无损反射光栅的衍射效率模拟光谱。建模参数:中心波长λ₀=1550nm,空间折射率调制δn=700ppm,厚度T=5mmSCR dλ/dznm/cm)分别为:1–02–0.53–5


对于具有线性啁啾的理想CBG,不同光谱分量的延迟是波长的线性函数(图4中的直线)。然而,实际上,光敏材料的色散、缺陷以及全息图记录系统内部的因素都会导致这种线性关系的偏差。这种扭曲的色散曲线通常用多项式函数来建模,其中线性项等于拉伸系数SF,更高阶的项称为三阶色散(TOD),以此类推。

4:中心波长为1555nm、厚度为50mmCBG的时间延迟与波长的关系(时间延迟色散),SCR3.2 nm/cm。直线表示线性色散,方块表示实验数据。


5(曲线1)展示了中心波长为1555nmCBG的实验衍射光谱。可以看出,短波长处的绝对衍射效率(相对衍射效率和损耗的组合)低于长波长处。实验证实,由空间折射率调制决定的相对衍射效率对于所有光谱分量均相同,衍射光谱的不对称性是由损耗引起的。然而,这种不对称性并非由相应的吸收或散射光谱的不对称性(在该窄光谱区域内,吸收或散射光谱是平坦的)所致,而是由于从具有较大光栅周期的一端(图2(c)中的左侧)照射CBG所致,该端被称为“红端”。在这种情况下,波长较短的光谱分量传播距离更长,损耗也更大。从“蓝端”照射同一CBG会导致更高的损耗,并且长波长光谱分量的绝对衍射效率更低。因此,测量 CBG 的各项参数时,应分别从“红端”或“蓝端”照射光。由于该CBG依次从两端照射,因此顺序拉伸和压缩可产生对称光谱。值得注意的是,CBG的反射光谱接近于平面轮廓,而脉冲激光器的发射光谱接近于高斯形状(图 5)。这意味着,为了有效反射激光系统的整个光谱(由高斯函数的半峰全宽(FWHM)决定),CBG 的光谱宽度应约为平面轮廓FWHM的两倍。

5:垂直腔面反射光栅(CBRG)从“红端”入射时的绝对衍射效率光谱(1),以及入射光(2)与衍射光束的光谱:单次透射(3)与双次透射(4)。


需要指出的是,多通道色散光栅的应用为脉冲形状控制提供了新机遇。如图6(a)所示,在多通道结构中经历首次衍射后,不同光谱成分沿与光束传播方向垂直的方向发生色散。在色散光栅与反射镜之间放置相位掩模[6(a)],可使不同光谱成分产生相位差。该位移导致脉冲在时域发生畸变。图7展示了建模实例:当二进制相位掩模对半数光束(即半脉冲光谱)施加λ/2相位移时,脉冲形状会发生剧烈变形。研究发现,通过采用不同相位掩模可实现脉冲形状的复杂变换。类似地,通过精细调节多段脉冲压缩光栅各段间距[6(b)],可实现压缩脉冲的时间整形。


6:多通道(a)与多段式(bCBG光栅衍射光束示意图。

M—镜面,PM—相位掩模。λ1>λ2>λ3

空间调制未按比例绘制——1μm波长下布拉格镜的典型周期约为0.3μm


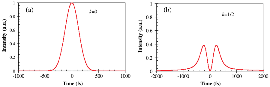
7:脉冲经双通道CBG展宽与再压缩后的时域曲线:

a)未在反光镜前放置相位掩模;b)放置相位掩模,该二进制相位掩模使半数光束产生k=λ/的相位偏移。

 

参考文献:Volume-chirped Bragg gratings: monolithic components for stretching and compression of ultrashort laser pulses, Optical Engineering 53(5), 051514 (May 2014)

 

简述Optigrate啁啾体布拉格光栅(I, II,III, IV型)在不同带宽下的衍射效率与损耗特性以及拉伸系数




产品导航 : 光束整形器分束器螺旋相位板微透镜阵列径向偏振片(S波片)红外观察仪激光防护眼镜显微镜载物台显微镜自动对焦量子级联激光器266nm激光器光斑分析仪光束质量分析仪激光晶体电控位移台主动被动隔震台太赫兹源太赫兹相机

友情链接 : 维尔克斯光电  中国供应商                                                                                                         中科光学


版权所有:深圳海纳光学有限公司 粤ICP备18089606号
电话:0755-84870203 邮箱:sales@highlightoptics.com